http://narod.ru/disk/7176811001/kinemat.xls.html
автора и источник не знаю 
Вот тебе и диапазон в 11 градусов (69...80)
Хорошо, а прикинуть можешь как шатун с длиной 130 будет влиять? И что творится со скоростью на 7500 мин-1? При таком шатуне? 123 это очень приличная скорость, надо уменьшать. Вот тут в помошь длинный шатун и увеличенные каналы, а иначе будет то что описано в книге, цитаты из которой я приводил.Хотя может нужно как раз среднюю использовать от 0 до 180?
Когда будешь готов переключится на пружины? Инф есть. Может сгодится.
С ув. Сайгон
)
Скорость поршня нелинейная и скорость потока смеси так же нелинейная (там на графике как раз и видно), я бы отталкивался от максимальных значений в районе пика открытия, так как за каких-то 15-20градусов поворота коленвала проходит бОльшая половина смеси.
Это по хорошему и должно определять выбор распредвала, если учесть что подъм уже прикинут и смысла в мегаподъмах не наблюдается, то профиль вала как раз и будет задавать тон или верней сказать что надо профилю плясать под дудку этих 11 градусов. Онот все в комплексе теперь вырисовывается. Согласись глупо на мотор с отношением R/S=1/4тавить вал который будет приходить в себя на 8000 мин-1.
Если по твоей методичке можно будет прикидывать на каких оборотах макс скорость то и перекрытиями легче будет играться.
Капс тоже как то разжовывал но коротко.
У меня по ссылке что то засада , как всегда.
С ув. Сайгон
Согласен. Но проследить чтобы профиль кулачка обеспечивал достаточный подъём на каждом угле поворота коленвала непросто, тут нужны данные от производителя распредвала. За то зная подъём на каждом градусе можно узнать будет ли данный подъём
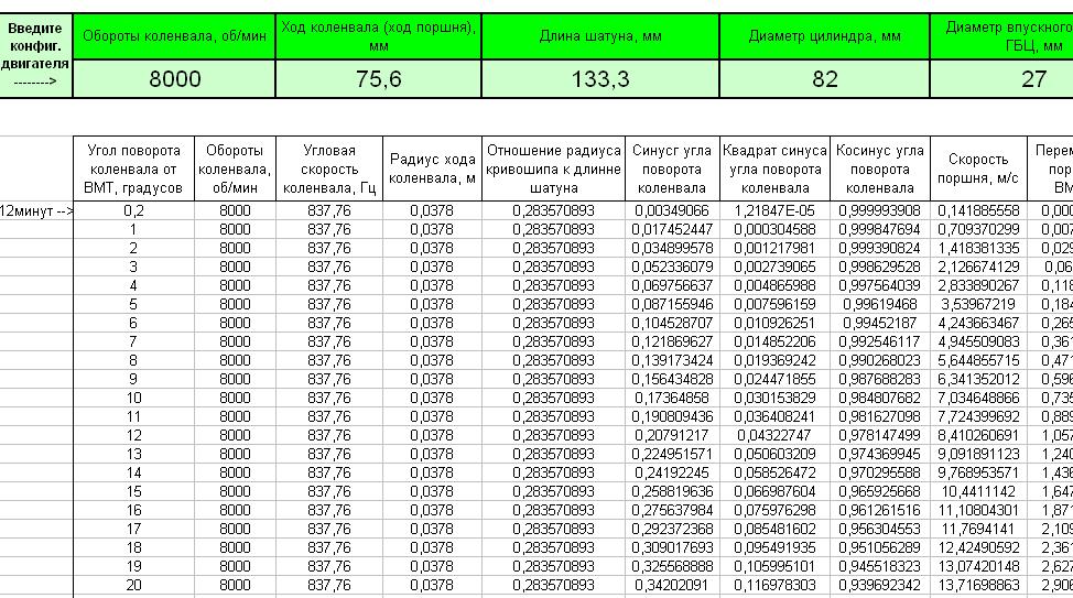
Если будет время вечером сделаю прогу, где нужно будет задать лишь обороты и конфиг, которая покажет скорости поршня и потока смеси в каналах.
Готово. Вводим конфиг и обороты - получаем данные.
Большой разброс?
У меня часть пружин помечена мазком красной краски. Что это не в курсе?
_________________
Красные пружины как бы жестче линейно на всем диапазоне, а без меток от моторов 1.5 (старого образца) ведут себя немного иначе.
Вот теперь и рассматриваю два варианта:
У меня от мотора старого образца, часть без меток, часть с метками, не считал сколько, но подозреваю что 8 / 8. Думаю более мягкие, без меток, стоит ставить на выпуск.
Не не так, как раз жесткие ставят всегда на выпуск. Масса тут не совсем играет роль, скорее на первое место выходит нагрев. При нагреве пружина плывет- факт. Дули феном и при 60 гр уже есть поползновения.
Чтобы убедить тебя посмотри на мерса пружины, выпуск на много жестче(как раз вчера меряли(моторCDI 16кл).
Когда смотришь сколько сил идет на сжатие то страшно становится какие потери сил у мотора.
AMAROCK
И валы с одинаковыми подъемами, фазами и профилями? 
А вы можете прикинуть хотя бы порядок механических потерь на сжатие излишне жестких пружин? Просто не окажется ли это действительно ловля блох и в процентном отношении это окажется какая то очень малая величина (по сравнению с мощностью мотора) на которую не стоит даже обращать внимание?
Пружина стоит в башке и контактирует со стержнем только через сухарь. Нагрев от малой площади такого контакта весьма сомнителен. Зато меньший вес выпускных клапанов весьма соответствует меньшей жесткости пружины.
А вы можете прикинуть хотя бы порядок механических потерь на сжатие излишне жестких пружин? Просто не окажется ли это действительно ловля блох и в процентном отношении это окажется какая то очень малая величина (по сравнению с мощностью мотора) на которую не стоит даже обращать внимание?
Хороший вопрос. Задавался. Просчитать то можно, надо искать.
А вы можете прикинуть хотя бы порядок механических потерь на сжатие излишне жестких пружин?
Когда смотришь сколько сил идет на сжатие то страшно становится какие потери сил у мотора.
Да, но ровно только же сил затем высвобождается
Да, но ровно только же сил затем высвобождается
Вы не можете начинать темы
Вы не можете отвечать на сообщения
Вы не можете редактировать свои сообщения
Вы не можете удалять свои сообщения
Вы не можете голосовать в опросах
Вы можете вкладывать файлы
Вы можете скачивать файлы


